Skip to content

In Focus January 2026

In group conversations, background noise, hearing impairment and hearing-aid signal processing affect miscommunications

What's in focus Introduction

SPIN 2026: Invited talk on miscommunication in group conversation

In our latest analysis of the content of conversations between two normal-hearing participants and one hearing-impaired participant, we have found that although hearing-impaired talkers have more instances of misunderstanding and asking for clarifications, the hearing-aid signal processing the hearing-impaired talkers experience had a surprising impact on how many miscommunications their normal-hearing conversation partners had. These results, and the conversational behavior underlying them, will be presented at an invited talk at the Speech-In-Noise workshop held in Paris in January 2026.

 

 

Introduction to communication research

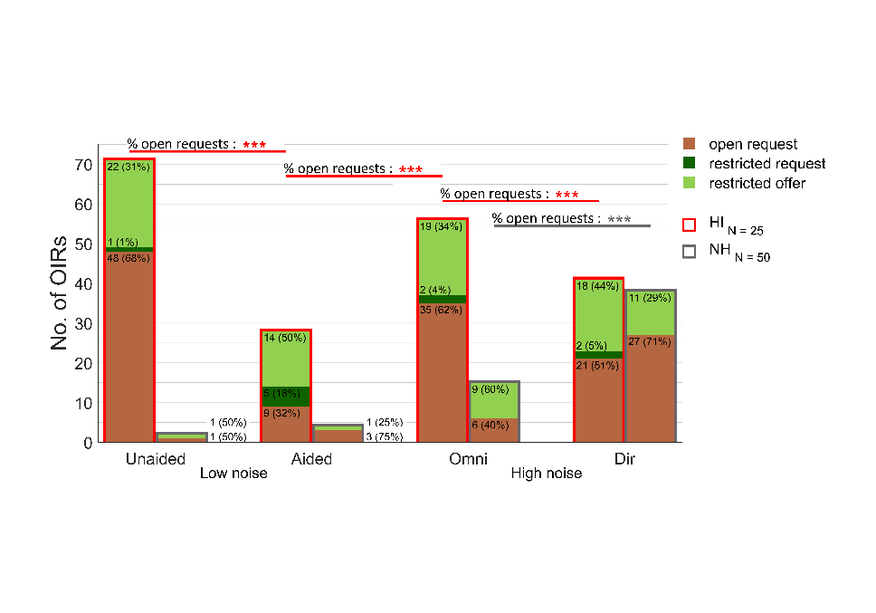
Speech understanding is difficult to assess in real-world communication. However, instances where talkers ask for repetitions, clarifications, or express difficulty hearing, provide insights into whether people can hear and understand each other. In triadic conversations between two normal-hearing (NH) and one hearing-impaired (HI) interlocutor, we identified and analyzed all miscommunication events to evaluate the effects of hearing impairment, background noise, and hearing-aid signal processing.

 

A subset of miscommunications are so-called other-initiated repairs (OIRs) where one interlocutor signals a communication breakdown, which is then jointly resolved by conversation partners. Verbal OIRs can vary in specificity, from the unspecific open requests (e.g. ‘What?’ or ‘I cannot hear’) to the very specific restricted offers (e.g. ‘Did you say blue?’). We investigate whether communication difficulty influences the type of OIRs being used.

Explore Results

Effect of background noise

Talkers have more miscommunications when they suffer from impaired hearing, but the number increases for all talkers when the background noise is increased. Open request OIRs are used more often than restricted, and even more at the high level of background noise. For the HI participants, listening to a directional sounds scheme in the hearing aid reduce the proportion of open OIRs used. Interestingly, the hearing-aid setting, which was only experienced by the HI talker, affected the NH conversation partners to produce more miscommunication with a larger share of open OIRs.

 

Analysis outcome

A detailed look into the data revealed that the NH talkers mainly misheard/misunderstood speech from the HI conversation partner.

An analysis of speech levels showed that when the HI interlocutors listened to directional sound processing, they lowered their speech level and there was a direct relationship between the HI speech level and the number of OIRs produced by the NH conversation partners. It seems that improving the listening situation for the HI talker through hearing-aid signal processing, causes them to lower their speech level, thus making the conversation more difficult for their NH conversation partners.